13. 3. 2007

Urschula Drofa


 
Ch. Sternenhoch Diablo de Trufas Negras

Webové stránky chovatelské stanice Knížete Sternenhocha
Klubový šampion, Oblastní vítěz ...
Bonitace: 00/4A/5
Výška: 32 cm
DOV: negativní 5. 1. 2007
Ch. PL, 4. Světová výstava psů 2007...
(import Argentina)
Výška: 33 cm
DOV: negativní


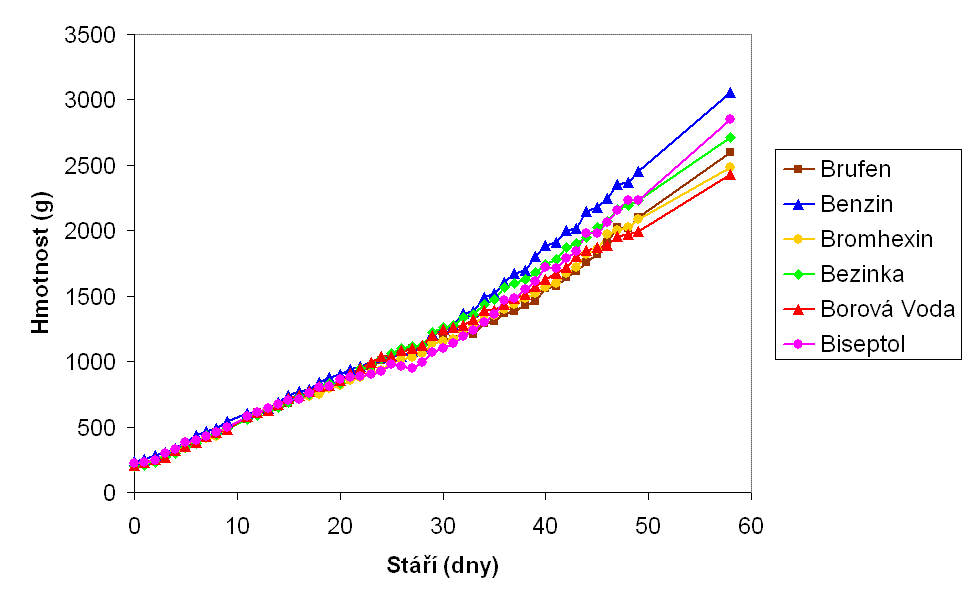
Rodokmen  Graf přírůstků  Tabulka přírůstků

Více o Benzinovi z Apatyky
♂ Benzin
- 7 týdnů
Více o Biseptolovi z Apatyky
♂ Biseptol
- 4 měsíce
Více o Bromhexinovi z Apatyky
♂ Bromhexin
- 1,5 roku
Více o Brufenovi z Apatyky
♂ Brufen
- 1,5 roku
Více o Bezince z Apatyky
♀ Bezinka
- 1,5 roku
Více o Borové Vodě z Apatyky
♀ Borová Voda
- 1 rok